环黄芪醇是一种从黄芪中提取的三萜类化合物,具有明确的化学结构和高纯度特性。
产品特点
高纯度:通过 HPLC 验证,纯度可提供 1%-98% 的范围,满足科研及配方开发需求。
可追溯原料:采用垂直整合工艺,从黄芪原料采集到提取、纯化全程可控,保证批次一致性。
严格质量控制:ISO 认证实验室执行全程 QA/QC,包括重金属、农药残留及微生物限度检测。
应用领域
营养保健品研发:用于科研及原料开发研究。
药妆品开发:适用于配方开发和安全性评估。
制药研发:用于三萜类化合物相关研究及代谢途径分析。
服务与支持
提供样品及小批量订购,用于科研试验和配方开发。
批次分析证书(CoA)及材料安全数据表(MSDS)可按需提供。
OEM/ODM 支持,可定制比例和递送形式。
立即联系我们,获取样品及详细技术资料,助力科研与配方开发。
产品名称 :
CycloastragenolCAS编号 :
78574-94-4 / 84605-18-5外观 :
Fine white powder产品产地 :
Produced by Nanjing Spring & Autumn & Weifang Huazhi (Subsidiary)规格 :
98% Min by HPLC (DAD/ELSD verified)环黄芪醇(1-98% HPLC) - 优质黄芪提取物
CAS号:78574-94-4/84605-18-5
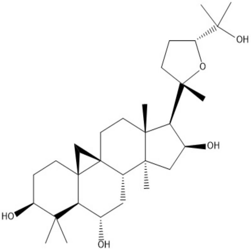
分子式:C30H50O5
分子量:490.71
分子结构:
环黄芪醇 (CAS 84687-43-4) – 高纯度黄芪三萜类化合物
产品优点
✅ 高纯度化合物
经 HPLC 验证,纯度可达 98%,来源于黄芪根,适用于科研和配方开发。
✅ 多行业科研应用
营养保健品研发:可用于原料及配方研究。
药妆品研发:适用于配方开发、稳定性测试和原料研究。
制药研发:用于三萜类化合物相关的科研、代谢及结构研究。
✅ 严格质量与全球合规
ISO、Kosher 与 Halal 认证实验室生产。
重金属、农药及微生物检测符合 USP/EP 标准,确保科研和配方开发安全可靠。
服务支持
提供样品及小批量订购,便于科研和配方实验。
批次分析证书(CoA)及材料安全数据表(MSDS)可按需提供。
OEM/ODM 支持,可定制比例和递送形式。
|
范围 |
细节 |
|
纯度 |
50% - 98%(HPLC-DAD/ELSD 验证) |
|
协同化合物 |
黄芪甲苷IV,多糖 |
|
鉴别 |
质谱法、核磁共振 |
|
稳定 |
24 个月*(阴凉干燥处,避光) |
|
包装 |
20mg-1kg(铝箔)、25kg纤维桶、定制解决方案 |
🌿 卓越研发能力
拥有 15 年以上植物提取和活性化合物分离经验。
可提供定制化产品比例、浓度和混合物,支持科研、配方开发和工业应用。
🌱 可持续采购
黄芪根来源于受控种植基地,符合可持续和可追溯采购要求。
从种植到提取的全流程管理,确保原料稳定性和质量一致性。
🏭 端到端生产控制
垂直整合工艺:从原材料收集到提取、纯化及质量检测全程控制。
提供批次追溯和一致性管理,适合科研、营养品及化妆品配方开发。
🚀 增值服务
样品及小批量支持:可用于科研实验和中试生产。
完整文件支持:每批产品可提供 COA(分析证书)和 MSDS(材料安全数据表)。
OEM/ODM 服务:私人标签和定制配方支持。
技术咨询:提供科研和配方开发的专业建议,包括稳定性测试和配方优化。